Product Development Lifecycle
Items flow through the following lifecycle phases
Items flow through the lifecycle from left to right, from Discovery to Maturity (and traversed to the sub phases). The following visualizes the types of items and their transformation during product development lifecycle phases.

Product Discovery item flow
Items stem from the opportunity-solution-tree and topics start with a product outcome. During discovery aka research we find opportunitie(s) that are connected with the product outcome. And based on the prioritized opportunities we use the phases discover aka ideate/evaluate/prototype/test/learn to find potential solutions and iterate as fast as possible to prove or disprove that a solution solves the opportunity.
So ticket types transform from product outcome into opportunitie(s) into solutions (in-)_validated by _assumption tests.
And we then build and grow solutions that are worth pursuing.
Item Type Specific Workflows
The Jira configuration applies strict Workflow Rules by item types (Opportunity, Solution, Assumption Test, Epic).
The following describes transition guidelines that can’t be enforced via Jira configuration:
A solution that was validated via assumption tests during product discovery moves to Ready for Delivery to indicate that it can be picked up for delivery. When it gets picked up, then the solution moves to Delivery.
An assumption test that was validated moves to Done with resolution Validated.
An assumption test that was invalidated moves to Done with resolution Invalidated.
Product Delivery item flow
Based on solutions worth implementing, we create epics that split-to stories/tasks and sub-tasks.
For fast implementations we can also directly connect solutions with stories and skip the level of epics.
A hierarchy for Jira based on OST
Item hierarchy Product Outcome - Opportunity (nested) - Solution - Epic (optional) - Story/Task - Subtask.
Each hierarchy level corresponds to an item type in Jira (so in Jira we have item types Product Outcome, Opportunity, Solution,…).

We create the tree-hierarchy in Jira using Jira-Item-Links
Link items in Jira using the link type split-to and split-from.
Split-to defines to what items an items splits to. This represents looking the hierarchy path from top-down.
Split-from defines from what items this item is derived. This represents looking the hierarchy path from bottom-up.

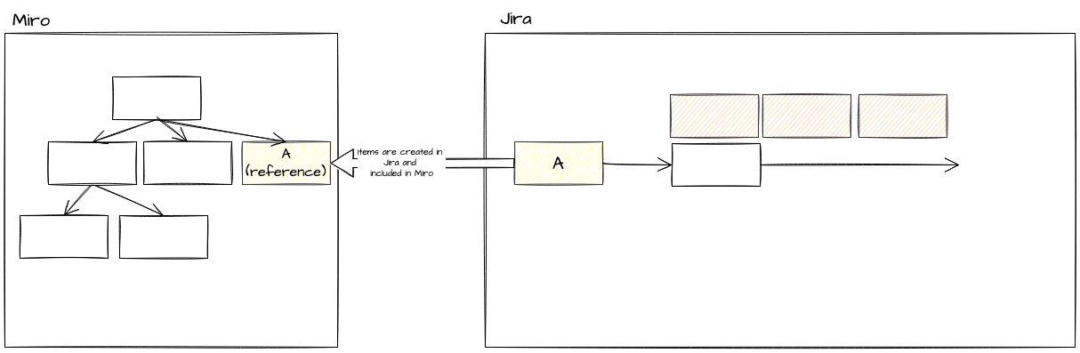
Connection between Miro Opportunity Solution Tree and Jira

How to use priorities for items?
For setting the priority we use the Jira priority field on items.
The 1-2 opportunities you go for first should have the highest priority value. The other ones should be medium/low.
The same with assumptions, the highest priority assumptions aka leap of faith assumptions should also have the highest value. Others medium/low.
Linking
- Opportunity Solution Tree Learning Session
- [[Product Discovery Kanban]]